miércoles, 23 de febrero de 2022

Densidad del Agua

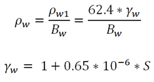
La densidad del agua en lbs/pie^3, se determina de forma similar a un sistema de gas-petróleo y en ocasiones no se considera el gas en solución.

  

Donde Pw es la densidad del agua en lbs/pie3, Pw1 es la densidad del agua a condiciones normales (P = 14.7 psi y T = 60 °F) en lbs/pie3, Yw es la gravedad específica del agua, S es la concentración de sólidos disueltos en mg/litro y Bw es el factor volumétrico del agua en B@Y/B@N

 

Correlación de McCain, W.D., Jr.

 

 Donde S es la salinidad en porcentaje por peso de sólidos disueltos en ppm.

No hay comentarios.:

Publicar un comentario